カゼイン遺伝子型解析による乳牛群選抜法


[要約]
カゼイン遺伝子型を分類し、多形質REML法を用いて、産乳形質の遺伝的パラメータを推定し、推定育種価を算出し、年当たり遺伝的改良量を推定した。
北海道立根釧農業試験場・研究部・酪農第一科
[連絡先]01537-2-2004
[部会名]畜産・草地(畜産)
[専門]育種
[対象]乳用牛
[分類]研究

[背景・ねらい]
北海道乳牛群の乳蛋白質遺伝子型を検索し、乳牛群の乳蛋白遺伝子構成を明らかにし、乳生産性に関する遺伝的能力との関連性を解明する。
 そこで、北海道東部3町3,395頭の個体乳を、ポリアクリルアミド電気泳動法を用い、カゼイン蛋白質(κ、αs1およびβCN)の遺伝的変異を検索した。
 さらに、乳蛋白質遺伝子型と乳生産形質との遺伝的関連性を解明するため、最小二乗法による要因解析および血統情報(5,311頭)を組み込んだ多形質REML法を用いた個体モデルBLUP法により遺伝パラメータおよび育種価の推定を行った。

[成果の内容・特徴]
  1. CN遺伝子頻度は表1に示す。
  2. カゼイン遺伝子型の生産形質への効果は、κCNで乳量、乳蛋白質量および乳脂肪量でBB型が有意に多い。
  3. 多形質REML法による遺伝パラメータは表2に示す。
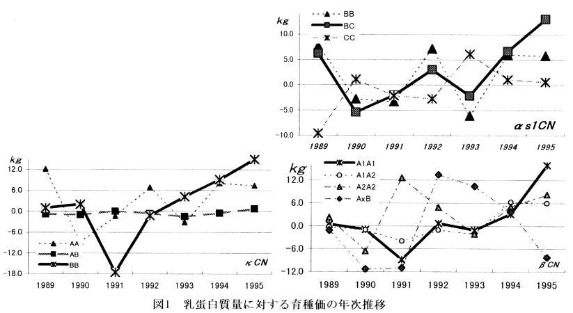
  4. 産乳形質における推定育種価(EBV)の全集団平均の誕生年による年次変化は、乳量、乳蛋白質量および乳脂肪量で、年当たり推定遺伝的改良量は各々8.86kg、1.25kgおよび0.61kgである。
  5. 雌牛集団の乳蛋白質遺伝子型別年当たり推定遺伝的改良量を算出した。 乳量はκCN-BB型、αS1CN-BB型およびβCN-A1A1型で各々13.57、63.95および19.94kg/年。また、乳蛋白質量ではκCN-BB型、αS1CN-BC型およびβCN-A1A1型で各々1.92、1.59および5.45kg/年である(図1)。乳脂肪量はκCN-BB型、αS1CN-BC型およびβCN-A1A1型で各々2.28、0.97および1.87kg/年である。したがって、κCNおよびαS1CNはB遺伝子そしてβCNはA1遺伝子の存在で乳量、乳成分量の増加が示唆される。年当たり期待遺伝的改良量は、表3に示した回帰式(P<0.05)により得られる。

[成果の活用面・留意点]
    乳牛群の年当たり遺伝的改良量を、遺伝子型別回帰式を用いて推定できる。しかし、種雄牛側の乳蛋白遺伝的多型情報を基礎に、交配種雄牛を選択する必要がある。さらに、地域各種分析施設を利用し、乳蛋白質の遺伝的多型分析を実施するための、雌側の分子遺伝学的解析システムの構築が必要である。

[平成10年度北海道農業試験会議成績会議における課題名及び区分]
課題名:カゼイン遺伝子型解析による乳牛群選抜法(研究参考)

[その他]
研究課題名:乳量乳質向上のためのカゼイン遺伝子型による乳牛群選抜法の開発
予算区分 :道単
研究期間 :平成10年度(平成5〜9年)
発表論文等:根釧農試におけるカゼイン遺伝子多型の乳生産形質およびSCSへの遺伝的効果,第54回北海道畜産学会大会講演要旨,p.24(1998)

戻る