コナガ発生予測システムを利用したキャベツ害虫の効率的防除


[要約]
キャベツの春まき栽培ではコナガ発生予測システムによる防除開始を6月からとする。防除間隔決定には簡易モニタリング法(中心・結球部被害指数0.4〜0.5)を活用する。晩春まき、初夏まきは粒剤施用を基本とし、効率的防除を実施する。
北海道立中央農業試験場・クリーン農業部・総合防除科
[連絡先]01238-9-2001
[部会名]生産環境
[専門]作物虫害
[対象]葉茎菜類
[分類]指導
[背景・ねらい]
コナガ発生予測システム(春まき栽培)の道内での適合性を検討し,各種害虫の簡易モニタリング法,薬剤抵抗性発達を避ける効率的薬剤使用方法を明らかにして,コナガ発生予測システムを利用し,他害虫(ヨトウガ,モンシロチョウ,アブラムシ類)を含めた防除技術を確立する。
[成果の内容・特徴]
  1. 1999年の発生予測システムによる防除開始日は長沼町6月5日,比布町6月5日で,新食痕による発生対応防除区と同時期であった。新食痕数は1個/株前後,株被害・中心結球部被害指数は0.5前後であった。2000年の防除開始日は長沼,比布,大野とも5月中であったが,食葉性害虫の発生量は少く,6月中旬防除開始で収量に差がなく,5月から防除する必要はなかった(第12図)。
  2. 発生予測システムによる防除開始時のコナガ密度は,少ない年は10頭/10株以下(1998,2000年),多い年は20〜40頭/10株(1996,1997,1999年)であった。
  3. 5月中に防除開始日となったのは2000年の長沼町,比布町,大野町,芽室町,伊達市,1994年の比布町,伊達市のみで,春期の気温推移は年により全道で大きく変動しない。以上のことなどから,北海道の春まきキャベツ栽培における防除開始時期は改良した発生予測システムver.2により,防除開始は6月からとする(第3図)。
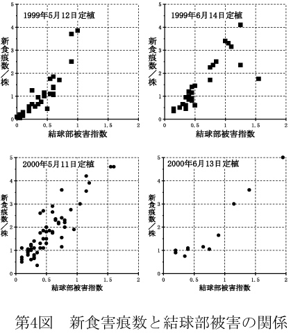
  4. コナガの要防除水準は株当たり新食害痕数1個に設定されている。春まき栽培(5月定植)で新食害痕数1に対応するのは,結球部被害指数0.4〜0.5,晩春まき栽培(6月定植)で結球部被害指数0.4,初夏まき栽培(7月定植)で結球部被害指数0.4であった。結球部被害指数0.5を目安に防除したところ,各作型で高い商品化率となった。これらのことから,防除開始時期を決定する簡易モニタリング法として,結球部被害指数0.4〜0.5を利用することが可能である(第4図)。
  5. 春まき栽培では発生予測システムで6月から防除を開始し,簡易モニタリング法(結球部被害指数0.4〜0.5)で防除時期を決定する。晩春まき,初夏まき栽培は粒剤施用を基本とし,簡易モニタリング法で防除時期を決定する。害虫の発生量,生育ステージに応じて使用薬剤を選択する。
[成果の活用面・留意点]
  1. モンシロチョウは,コナガと同時防除が可能である。
  2. ヨトウガのフェロモントラップは発生予測に利用出来ないため,発生時期にはヨトウガ幼虫に効果の高い薬剤を散布する必要がある。
  3. アブラムシ類の発生量が多い場合には,食葉性害虫とは別の薬剤で防除する。

平成12年度北海道農業試験会議における課題名および区分
課題名:コナガ発生予測システムを利用したキャベツ害虫の効率的防除(指導参考)
[その他]
研究課題名:農作物病害虫診断試験
予算区分:道費
研究期間:平成12年度(平成11〜12年)
研究担当者:中尾弘志
発表論文等:中尾弘志・橋本庸三、コナガの防除開始時期決定のための発生予測システム、北海道立農試集報、第77号;75-79、1999.

戻る