貝殻を疎水材とした泥炭地の暗渠排水技術
- [要約]
- ホタテ貝殻を疎水材とした暗渠排水(貝殻区)の地下水位はササを被覆材とし、掘削泥炭を埋戻した慣行区の地下水位よりも低く推移する。貝殻成分の暗渠排水への溶出が認めらるが、その貝殻の重量減少は極めて僅かで貝殻は疎水材としての適性を有する。
- [キーワード]
- 暗渠排水、疎水材、貝殻、地下水位、排水水質
[担当]開発土研・農業開発部・土壌保全研究室
[連絡先]011-841-1117
[区分]北海道農業・生産環境
[分類]技術・普及
- [背景・ねらい]
- 暗渠排水の機能不良要因として埋戻し土の透水不良化が鉱質土だけでなく、泥炭土でも明らかにされ、北海道、北海道開発局および農水省の暗渠排水計画基準等では、粗間隙を多量に有する資材で掘削部を埋戻す疎水材暗渠排水が基準化されている。このような疎水材として砂利、粗粒火山灰、砂、貝殻、木材チップ等が掲げられている。貝殻の容積重は小さいため泥炭土壌での暗渠疎水材としても使用されるが、貝殻は酸性水に溶け易い。そこで、泥炭土壌でのホタテ貝殻の疎水材の効果と耐久性を明らかにする。
- [成果の内容・特徴]
- 未破砕のホタテ貝殻を暗渠排水の掘削部に埋戻した貝殻区の排水効果、排水水質及び貝殻の性状変化をササを被覆材とした慣行区(図1)を対照として3年間調査した。
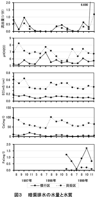
- 貝殻区の暗渠排水線から2m以内の地下水位は慣行区よりも低く推移し(図2)、排水量は多く(図3)、排水効果は高い。
- 貝殻区の排水は慣行区に比べpH、EC、Ca濃度は高く、貝殻成分が溶出する(図3)。
- 埋設2年後の貝殻の強度は低下するが、重量減少は1%と極めて小さい(表1)。
- 貝殻区排水の鉄濃度が慣行区よりも低い(図3)ことから、貝殻を疎水材として用いる事により、鉄を主成分とする堆泥を抑制する可能性がある。
- 以上のことより、未破砕のホタテ貝殻は暗渠排水の疎水材として適性を有すると考えられ、廃棄物とされた貝殻の有効利用にもなる。
- [成果の活用面・留意点]
- 本成果はホタテ貝殻を用い、また、中間泥炭土草地でのものであるが、排水不良鉱質土(但し、酸性硫酸塩土壌を除く)にも適用できるものと考えられる。なお、本成果は中間泥炭原野(浜頓別泥炭地)を草地に造成し、16年後に再整備した時の暗渠排水での調査によるものである。
- 本成果は試験開始後2、3年間の成果であるため、数十年単位の長期的な貝殻の耐久性については、継続調査が必要である。
- [その他]
-
研究課題名:高度な農地整備工法の研究開発
予算区分 :農業農村基盤整備調査費
研究期間 :1997〜2000年
研究担当者:宍戸信貞、石渡輝夫、石田哲也、森川俊次、中村和正
発表論文等:宍戸ら(2002) 土肥誌 73(1) p.11〜15
戻る