短草利用放牧草の粗タンパク質含量の季節変動と乳中尿素態窒素含量の関係

[要約]

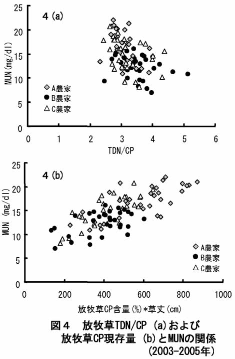
短草多回利用されている放牧草のCP含量は2つの屈折点を持つ季節変動を示す。草丈を草量指標として用いることによりCP現存量を表す「CP含量(%)×草丈(cm)」は、乳中尿素態窒素含量と高い相関がある。

[キーワード]

乳中尿素態窒素含量、粗タンパク質含量、放牧草、季節変動、放牧依存度

[担当] 北海道農研・集約放牧チーム、自給飼料酪農研究チーム
[連絡先] 電話 011-857-9260,電子メール seikajouhou@ml.affrc.go.jp
[区分] 北海道農業・畜産草地、畜産草地
[分類] 研究・参考

[背景・ねらい]
集約放牧下においては、季節や利用管理によって放牧地の草量や栄養価が変化し、乳牛の栄養摂取量が左右されることから、補助飼料給与による栄養バランスの保持を必要とする。しかしながら、短草で多回放牧利用している農家現場での放牧草の栄養バランスについての情報は乏しい。乳中尿素態窒素(MUN)含量の濃度は、摂取飼料の粗タンパク質(CP)とTDNの不均衡を反映することから、放牧酪農の実施農家における放牧草の成分と放牧搾乳群のバルク乳成分を調査し、とくに、放牧依存度の高い場合における放牧草のCP含量の季節変動とMUN含量との関係を解析する。
[成果の内容・特徴]
  1. 幕別町忠類の放牧依存度(摂取飼料に占める放牧草の乾物割合)の異なる放牧農家3軒(A農家;放牧依存度70%、B農家;44%、C農家;66%)において、2003-2005年の5月上旬〜11月上旬にメドウフェスク草地に集約放牧した牛群のMUN含量は、いずれの農家も8-9月にピークがあり、放牧依存度の高い(補助飼料給与量の少ない)農家では、7月中旬〜9月中旬にかけてMUN含量の基準上限値とされる17.5mg/dl以上となる(図1)。
  2. 各農家の草地における放牧草(n=96)の草丈は、6月上旬〜9月上旬においては20-30cm(年間平均草丈;約20cm、範囲;9.2-31.1cm)に維持されている(図2上)。このような短草利用条件では、CP含量は2つの屈折点(6-7月および8-9月)を持つ季節変動を示す(図2下)が、屈折点におけるCP含量は農家によって異なる。
  3. 放牧草のTDN/CPの季節推移は、各農家とも5月および8-9月に低くなる傾向にあり(図3)、放牧依存度の高いAおよびC農家における放牧草TDN/CPとMUN含量とは、負の相関がある(図4(a)、A,C農家;r=0.43, P<0.01)。
  4. 草丈を草量の指標として用い、放牧草のCP現存量を表す「放牧草のCP含量(%)×草丈(cm)」は、放牧依存度の高いAおよびC農家の牛群のMUN含量と有意な正の相関がある(図4(b)、A,C農家;r=0.76, P<0.001)。
[成果の活用面・留意点]
  1. 集約放牧における搾乳牛の栄養管理研究の基礎資料として活用できる。
  2. 草地のデータは、実際のメドウフェスク放牧地にプロテクトケージを設置し、約2週間おきに刈り取り調査を行った結果である(6-9月中は昼夜放牧、5月および10月以降は昼間時間制限放牧)。
[具体的データ]

 

 

 

 

[その他]
研究課題名 地域条件を活かした健全な家畜飼養のための放牧技術の開発
課題ID 212-d
予算区分 集約放牧、基盤研究費
研究期間 2003〜2006年度
研究担当者 上田靖子、大下友子、青木康浩、秋山典昭、須藤賢司、松村哲夫、篠田満、鎌田八郎、村井勝
発表論文等