乳牛の分娩後における体重減少と繁殖性の関係
[要約]
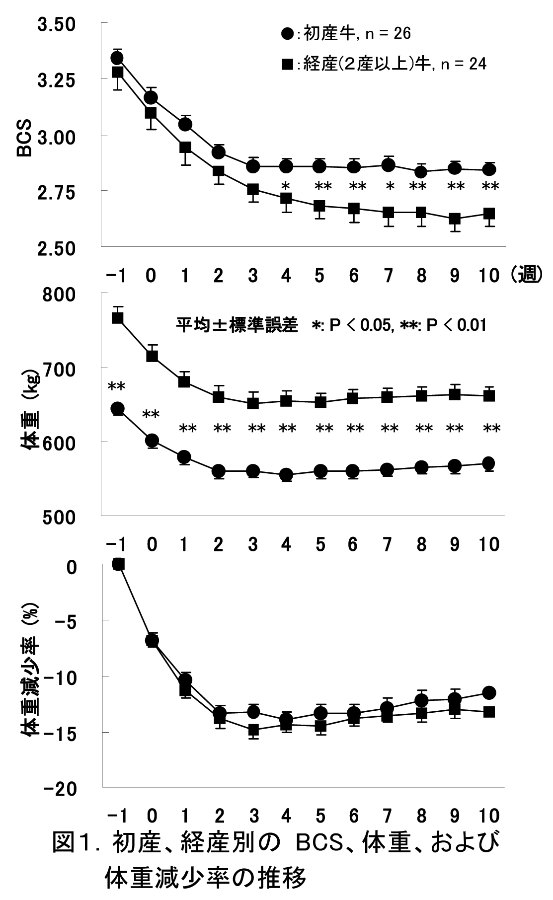
分娩後の乳牛の体重減少率はボディコンディションスコアと異なり、初産と経産牛の間に差はない。初回排卵、初回発情、および初回授精の早い牛では体重の回復が早いことから、体重減少率は初回排卵・発情および授精時期の指標となりうる。
[キーワード]
[担当]北海道農研・集約放牧研究チーム
[代表連絡先]電話011-857-9260、電子メールseika-narch@naro.affrc.go.jp
[区分]北海道農業・畜産草地、畜産草地
[分類]研究・参考
[背景・ねらい]
ホルスタイン種乳牛の栄養状態の簡便な指標として、ボディコンディションスコア(BCS)が推奨され、エネルギー収支を反映することから分娩後の繁殖性の指標としても使われる。BCSは測定器具が不要で簡単に判定できるが、主観的な方法であり、判定者が異なる場合には注意が必要である。一方体重は、農家現場での自動計測は普及しておらず、胸囲からの推定では精度が低い。体重は客観的な計測値であるが、消化管内容物を含んでいるため、採食量の影響も受ける。BCSが低下し続けていても、採食量が増えていればエネルギー収支の改善は近いと考えられる。また乳牛は2産まで成長中であるため、体重の絶対値は産次の影響を受け、異なる産次間では直接比較できない。そこで、分娩後の体重の減少率を調べ、BCSと比較するとともに、繁殖性との関連を解析する。
[成果の内容・特徴]
- 1. 北海道農業研究センターにおいて、フリーストール主体、夏期は時間放牧で飼養される乳牛50頭についての分析では、分娩後のBCSおよび体重の変化は初産牛と経産牛(2産以上)で異なるが、体重の減少率(次式)はこれらに差はなく同様に推移する(図1)。
体重減少率(%) = [(現在体重)−(分娩前体重)] /(分娩前体重)× 100
- BCSの最大減少幅は経産牛で大きく、最低になる日は初産牛よりも約2週間遅れる。これに対し、体重減少率では、減少率は16%前後、最低日は31日前後と、BCSのような違いは認められない(表1)。体重にはエネルギーバランスだけではなく、採食量の増加が反映される結果と推測できる。
- 初産・経産をまとめると、BCSでは排卵や発情の時期による違いは見られないが、初回排卵の早い群(21日以内)では遅い群よりも体重増加に転ずる時期が早く、初回発情の早い群(42日以内)でも同様に、体重の回復が早く始まる(図2)。
- 初回授精日についてもBCSと異なり、早い群(63日以内)で体重回復が早い傾向を示すが、受胎日についてはこのような傾向は認められない(図2)。
[成果の活用面・留意点]
- 生産現場で体重を自動計測できる実用的な機械の開発および普及を前提に、繁殖機能回復を中心とした牛群の健康状態等を、定常的に把握するシステムの開発を目指す研究への応用が期待できる。
[具体的データ]
[その他]
研究課題名:集約放牧飼養技術の高度化とその乳製品特性を活用した持続型酪農システムの開発
中課題整理番号:212d.1
予算区分:基盤
研究期間:2007〜2009年度
研究担当者:坂口 実
発表論文等:1) Sakaguchi (2009) Canadian Veterinary Journal 50(6): 649-653.
2) 坂口 (2008) 臨床獣医 26(6): 16-19.
目次へ戻る