近赤外分析による輸入イネ科乾草の飼料成分推定
[要約]
道内に輸入されたチモシー、エン麦、クレイングラスおよびライグラス乾草263点を用い作成した近赤外分析用検量線を用いると、道内で流通する輸入イネ科乾草の水分や一般飼料成分を簡易に高精度で推定できる
[キーワード]
近赤外分析、輸入イネ科乾草、フォーレージテスト、飼料成分
[担当]道立畜試・環境草地部・草地飼料科
[代表連絡先]電話0156-64-5321
[区分]北海道農業・畜産草地
[分類]技術・普及
[背景・ねらい]
精密な飼料設計には粗飼料分析が必要不可欠であるが、化学分析には多くの労力と手間が掛かるため各飼料分析センターでは迅速かつ簡便に分析可能な近赤外分析が用いられている。しかし近赤外分析には飼料毎に各成分を推定するための検量線が必要となるため、これまで未対応であった輸入イネ科乾草を対象として近赤外分析による飼料成分推定用検量線を作成する。
[成果の内容・特徴]
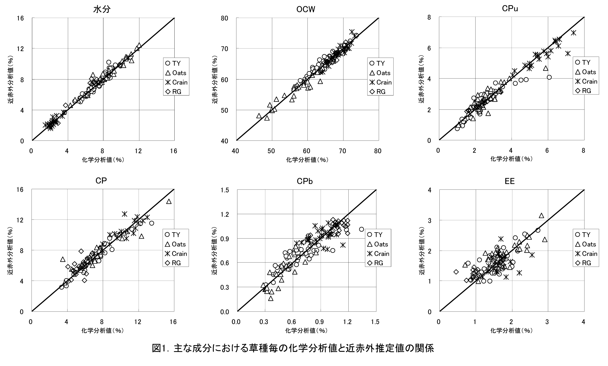
- 2009年度までに収集された輸入イネ科乾草263点(チモシー95点、オーツヘイ77点、クレイングラス51点およびライグラス40点)のスペクトルデータから検量線作成用標準サンプル群を選抜して検量線を作成する一方、残りを精度検定用未知サンプル群(PRE群)として作成した検量線の精度を検証したところ、草種を込みにした判定ではいずれの検量線においても推定可能と判断されるC判定以上の精度が得られている (表1)。
- 草種別の精度の検証において、水分、総繊維(OCW)、酸性デタージェント繊維(ADF)、中性デタージェント繊維(NDF)、非分解性タンパク質(CPu:図3)の各検量線は、チモシー乾草(TY)、エン麦乾草(Oats)、クレイングラス乾草(Crain)およびライグラス乾草(RG)の4草種全てで精度が安定して維持されている。また、粗タンパク質(CP) の検量線はRGを除く3草種で、中性デタージェント不溶タンパク質(NDICP)の検量線はCrainを除く3草種で、結合性タンパク質(CPb)および粗脂肪(EE)の検量線はTYおよびOatsの2草種において精度が安定して維持されている。
- 溶解性タンパク質(CPs)については直接成分を推定する検量線の作成が困難であったものの、処理残渣である緩衝液不溶粗タンパク質(CPs-res)を推定する検量線を作成し、これを用いることでTYおよびOats の2草種についてはCPsを推定できる。
- 低消化性繊維(Ob)の検量線はCrainを除く3草種において精度が十分でないことから暫定的な提案とする。
[成果の活用面・留意点]
- 輸入チモシー乾草、輸入エン麦乾草、輸入クレイングラス乾草および輸入ライグラス乾草について適用するが、十分な精度の得られなかった成分項目についてはモニターを重ね運用については慎重に検討する。
- 利用は当面の間、道内7カ所、道外2カ所の飼料分析センターに限定される。
平成21年度北海道農業試験会議(成績会議)における課題名および区分
「近赤外分析による輸入イネ科乾草の飼料成分推定」(普及推進)
[具体的データ]
[その他]
研究課題名:輸入イネ科乾草のための近赤外分析用検量線の作成
予算区分:受託
研究期間:2008〜2009年度
研究担当者:飯田憲司、玉置宏之、原悟志
目次へ戻る