大豆カメムシ類の密度調査法としての叩き落とし法と見取り法との関係
- [要約]
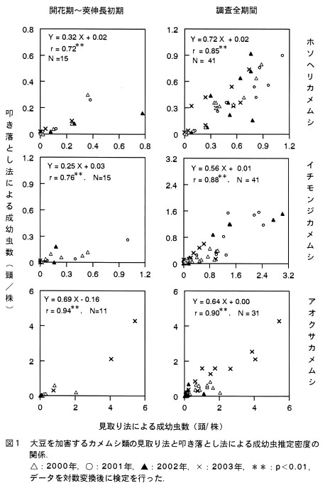
- 叩き落とし法と見取り法による大豆上のカメムシ類の推定密度は,正の相関関係にある。
- [キーワード]
- 大豆、カメムシ類、叩き落とし法、見取り法、相関関係
- [担当]
- 福岡県農業総合試験場・病害虫部・虫害チーム
[連絡先]電話092-924-2938
[区分]九州沖縄農業・病害虫
[分類]技術・参考
-
[背景・ねらい]
-
大豆株上に生息するカメムシ類の発生量を推定しようとする場合、これまでは見取り法による調査が一般的であった。しかし、見取り法は時間と労力がかかる。そこで、見取り法と叩き落とし法による密度推定の関係を明らかにし、発生予察調査法の資料とする。
-
[成果の内容・特徴]
-
-
大豆の子実を加害する主要なカメムシである、ホソヘリカメムシ、イチモンジカメムシ及びアオクサカメムシでは、いずれも叩き落とし法による推定密度と見取り法による推定密度は正の相関関係にある(図1)。
-
この相関関係は、カメムシ類の発生初期に当たる8月下旬〜9月中旬(開花期〜莢伸長初期)の期間(図1左列)を含め、カメムシ類が発生する全期間(図1右列)認められ、また、カメムシ類の広い密度範囲にわたって成立する。
-
叩き落とし法によるカメムシ類の推定密度は、見取り法で丁寧に調査を行った場合の密度と比べると全期間で56〜72%、開花期〜莢伸長初期で25〜69%である(図1)。
-
叩き落とし法は、直径70cm程度の傘を開いて大豆条間から株元に挿入し、大豆の株を2〜3株同時に叩いて実施する。
-
50株調査の場合、調査に要する時間は、叩き落とし法では約20分で、見取り法の約1/5である(データ略)。
-
[成果の活用面・留意点]
-
-
叩き落とし法は簡便なカメムシ密度調査法として活用できる。
-
ホソヘリカメムシとイチモンジカメムシでは、開花期〜莢伸長初期(8月下旬〜9月中旬)においては叩き落とし法による密度は見取り法による密度より低くなる傾向にあるので、過小評価になることに留意する。
-
[具体的データ]
-

図1 大豆を加害するカメムシ類の見取り法と叩き落とし法による成幼虫推定密度の関係
-
[その他]
-
研究課題名:大豆カメムシ類の簡易な予察法の確立
予算区分 :県単経常
研究期間 :2000〜2003年度
目次へ戻る