Navigation>>九州沖縄農業研究センター >> 研究成果情報 >> 平成17年度目次

生食用大玉トマトの加工原料としての追熟期間


[要約]
生食用大玉トマトのグルタミン酸、リコペンは追熟とともに増加し有機酸は減少するので、追熟とともに味覚や色調が向上する。しかし、長期間の追熟では鮮度が失われ、カビや異味・異臭の発生も認められる。加工原料としての冬春トマトの追熟期間は収穫後5〜7日、夏秋トマトでは3〜5日である。

[キーワード]
トマト、グルタミン酸、リコペン、追熟期間

[担当]
熊本県食品加工研究所・研究開発課

[代表連絡先]電話096-368-3600	
[区分]九州沖縄農業・流通加工	
[分類]技術・普及	

[背景・ねらい]
熊本県では、夏秋期には山間高冷地で冬春期には平坦地で周年的に生食用大玉トマトが栽培されているので、選果場では市場に出荷できない規格外トマトも周年的に発生する。この規格外トマトは、「割れ」等の損傷により加工原料として利用できないものはわずかであるが、成熟程度がバラバラで着色程度が不均一であり加工原料として利用しにくい。そこで、この規格外トマトを加工原料として使用するため、味覚や色調に関する成分の面から追熟による生食用大玉トマトの特性を調査する。

[成果の内容・特徴]
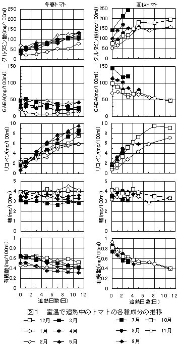
  1. 旨味成分であるグルタミン酸は、冬春トマト・夏秋トマトともに追熟とともに増加する。高血圧予防効果のあるGABAは、夏秋トマトでは追熟とともに減少するが、冬春トマトでは追熟中の変化は少ない。グルタミン酸もGABAも、冬春トマトより夏秋トマトが多く、同じ作型では高温期の方が多い(図1)。

  2. トマトの赤い色調の成分であるリコペンも追熟とともに増加し高温期ほど多いが、作型の差異は認められない(図1)。

  3. 糖は、追熟中の変動や作型の差異は認められずほぼ一定で推移する。有機酸は、夏秋トマトでは追熟とともに急激に減少し、冬春トマトでは緩やかに減少する(図1)。

  4. 以上のように、生食用大玉トマトは追熟とともに味覚や色調が向上するが、長期間の追熟では鮮度が失われ、カビや異味・異臭の発生も認められるので、冬春トマトの追熟期間は収穫後5〜7日、夏秋トマトでは3〜5日である(図2)。

[成果の活用面・留意点]
  1. 県内トマト産地において、トマト加工品の製造に取り組む加工グループ等の普及資料とする。

  2. 追熟期間は、気温が高ければ短く低ければ長くなるが、トマト表面の色調が着色No0(JA熊本経済連作成「とまと着色基準表」による。)に達した時点までとし、それ以後は冷蔵庫に搬入する。

  3. 夏秋トマトの高温期で栽培されたものは、ヘタ部分の緑色が抜けきらないことがあるので、トリミングを行う。

[具体的データ]

図1 室温で追熱中のトマトの各種成分の推移


図2 室温で追熱中のトマトの可食期限と平均気温

注1:サンプルは、冬春トマトはハウス桃太郎、夏秋トマトは桃太郎のM玉またはL玉を供試。

注2:選果場で選果された後、食品加工研究所において室温下で追熟。

注3:追熟開始時のトマトの着色程度は、その時期の出荷基準に準じた。

[その他]
研究課題名:トマトの加工適性の解明と有効利用法の開発
予算区分 :県単
研究期間 :2003年度〜2005年度


目次へ戻る