高栄養暖地型牧草バヒアグラス「ナンオウ」の放牧利用による肉用子牛生産
- [要約]
- 暖地型牧草バヒアグラスの4倍体品種「ナンオウ」は従来の2倍体品種に較べ草質が良好で、黒毛和種の親子放牧において、放牧子牛は日増体量0.8kg以上の良好な発育を示し、母牛は連産可能な良好な繁殖成績を示す。
- [キーワード]
- 肉用牛、放牧、暖地型牧草、ナンオウ、栄養価
- [担当]
- 九州沖縄農研・周年放牧研究チーム
[代表連絡先]電話096-242-7757
[区分]九州沖縄農業・畜産草地(草地飼料作)、畜産草地
[分類]技術・参考
-
[背景・ねらい]
- 近年、放牧慣行のなかった九州の低標高地おいて果樹園跡や桑園跡等の遊休農地を利用した肉用繁殖牛の暖地型牧草放牧が実施されてきている。暖地型牧草は夏期に旺盛な生育を示すが、栄養価は低く、放牧子牛は舎飼子牛に比べ発育が低下するため、親子放牧はほとんど実施されていない。そこで、従来の暖地型牧草より高い栄養価が期待できるバヒアグラスの4倍体品種「ナンオウ」を利用した夏期の黒毛和種の親子放牧が子牛生産性に及ぼす影響について検討する。
-
[成果の内容・特徴]
-
- バヒアグラス「ナンオウ」草地(1ha)に黒毛和種母子牛4組を6月〜10月まで補助飼料無給与で輪換放牧を実施した。対照草地としてバヒアグラスの2倍体品種「ペンサコラ」草地(1ha、黒毛和種母子牛4組)を用いた。施肥量は両草地とも5月、7月、9月にN:P2O5:K2Oの各成分3.8kg/10aである。バヒアグラスの4倍体品種「ナンオウ」は従来の2倍体品種「ペンサコラ」に較べ、粗蛋白質およびOa(高消化性繊維)+Occ(細胞内容物質)含量は放牧期間中、常に高い値で、Ob(低消化性繊維)含量は低い値で推移し、良好な草質を示す(図1)。
-
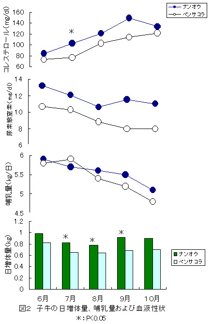
ナンオウ区の放牧子牛は夏期においても日増体量0.8kg以上の良好な発育を示し、生時〜離乳(4か月齢)までの日増体量はペンサコラ区の0.69kgに対して、ナンオウ区は0.84kgと有意に高い値である。哺乳量は両区にほとんど差異は見られない(図2,表1)。
-
放牧子牛の血中コレステロールおよび尿素態窒素濃度はナンオウ区がペンサコラ区より放牧期間中、常に高い値であり、ナンオウ区の子牛は良好な栄養状態で推移する(図2)。
-
ナンオウ区の母牛の繁殖成績は分娩〜発情および分娩〜受胎間隔は53.5日、59.5日、受胎に要した授精回数も平均1.3回とペンサコラ区より良好な成績であり、十分、連産が可能な繁殖成績を示す(表1)。
-
[成果の活用面・留意点]
-
-
九州地域の低標高地における遊休農地等を利用した省力的肉用子牛生産に活用できる。
-
夏期においては、庇陰施設(寒冷紗、よしず等)を設け、放牧子牛の暑熱対策には十分留意する必要がある。
-
[具体的データ]
-

図1 牧草成分の推移
図2 子牛の日増体量、哺乳量および血液性状

写真1 ナンオウ草地放牧において良好な発育および繁殖成績を示した黒毛和種母子牛

表1 繁殖機能および子牛生産性
-
[その他]
-
研究課題名:周年放牧による放牧(肥育)期間の延長と自給飼料資源を活用した肉用牛の育成・肥育システムの開発
課題ID:212-d
予算区分 :基盤、えさプロ
研究期間 :2006〜2010年度
目次へ戻る