キャベツ中心温度のシミュレーション技術


[要約]
キャベツの最適予冷時間を推定するため、キャベツ個体の冷却特性を精度良く近似可能なモデル式を見出した。キャベツ重量と冷却特性パラメータの間には高い相関が認められ、重量及び初期温度が既知であれば、環境温度が時間的に変化する場合であっても有限要素法に基づくシミュレーションにより最適予冷時間を推定可能である。
北海道農業試験場・畑作研究センター・流通システム研究チーム
[連絡先]0155-62-9283
[部会名]流通利用
[専門]加工利用
[対象]茎葉菜類
[分類]研究
[背景・ねらい]
キャベツを効率的に予冷するためには、重量及び収穫時における中心温度が異なるキャベツの最適予冷時間の推定が必要である。また、流通過程における中心温度の変化を推定することは品質管理の上で重要な技術である。そこで、冷却過程におけるキャベツ中心温度の実測値からモデル式を用いて冷却特性パラメータ(NTDと略す)を計算し、重量とNTDの関係を明らかにするとともに、重量及び初期温度から最適予冷時間を推定する方法、及び任意の環境温度変化に伴う中心温度変化を推定する方法を開発する。
[成果の内容・特徴]
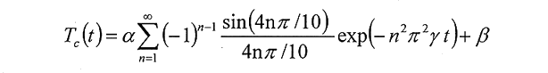
  1. 球状物体の熱伝導方程式の解析解から、一定温度の予冷庫内におけるキャベツ中心温度の時間変化Tc(t)の実測値を精度良く近似するモデル式を見出した(図1)。モデル式は次の式で表される。

    変数α、β及びγは非線形最小二乗法により実測値から求めることができ、γがキャベツ個体の冷却特性を表すパラメータ(NTD)である。また、α及びβはキャベツの初期温度及び予冷庫内温度により決まる定数であり、キャベツ自体の冷却特性には無関係なものである。
  2. モデル式を用い重量の異なるキャベツ個体のNTDを計算した結果、重量とNTDの間に高い相関が見出された。また、貯蔵期間の延長に伴う水分蒸散によると考えられるNTDの変化が観察されたが、収穫直後のキャベツと同様にNTDと重量の間に高い相関が認められた(図2)。したがって、予冷庫内温度が一定の場合には、重量からNTDを推測し、初期温度を与えることによりモデル式から所定の中心温度に到達する時間が推定可能である。
  3. 予冷庫やコンテナ内温度などの環境温度が時間的に変化する場合のキャベツ中心温度を推定するため、有限要素法によるシミュレーションプログラムを作成した。重量及び初期温度が既知であるキャベツ個体について、図2に示したNTDと重量の関係式からNTDを推定し、環境温度を変数として計算を行った結果、推定値は実測値とほぼ一致する(図3)。
[成果の活用面・留意点]
  1. 本手法はモデル式の書き換えにより、異なる形状の野菜等についても活用できる。
  2. NTDは予冷庫やコンテナ内の環境(風速、湿度、放射熱等)に応じて求める必要がある。
  3. NTDと重量の関係式は品種によって異なる。
[その他]
研究課題名:キャベツの急速予冷・貯蔵システムの開発
予算区分  :地域総合(畑作)
研究期間  :平成11年度(平成9年〜11年)
研究担当者:阿部英幸、山内宏昭
発表論文等:キャベツ品温のシミュレーション手法の開発、日本食品科学工学会第47回大
      会発表予定

戻る