小麦粉のエージング中における製パン性の変化と生地物性の関係
[要約]
エージング中の小麦粉は、パン比容積の増加と生地破断変形量の減少との間に高い相関関係がある。製粉直後の生地破断変形量とパン比容積の増加率の関係は、エージング終了後の製パン性の指標になる。
[キーワード]
[担当]北海道農研・畑作研究部・麦育種研究室
[連絡先]電話0155-62-9210
[区分]北海道農業・農産利用、作物・冬作物
[分類]科学・参考
[背景・ねらい]
小麦粉の製パン性は、製粉から使用するまでの一定期間のエージング(熟成)によって大きく改善することが知られている。しかし、その製パン性改善の過程は不明であった。小麦粉のエージング中の生地物性と製パン性の関係について、北海道で作付けされているパン用春まき小麦2品種(ハルユタカ、春よ恋)とパン用秋まき小麦品種(キタノカオリ)を用いて解析する。
[成果の内容・特徴]
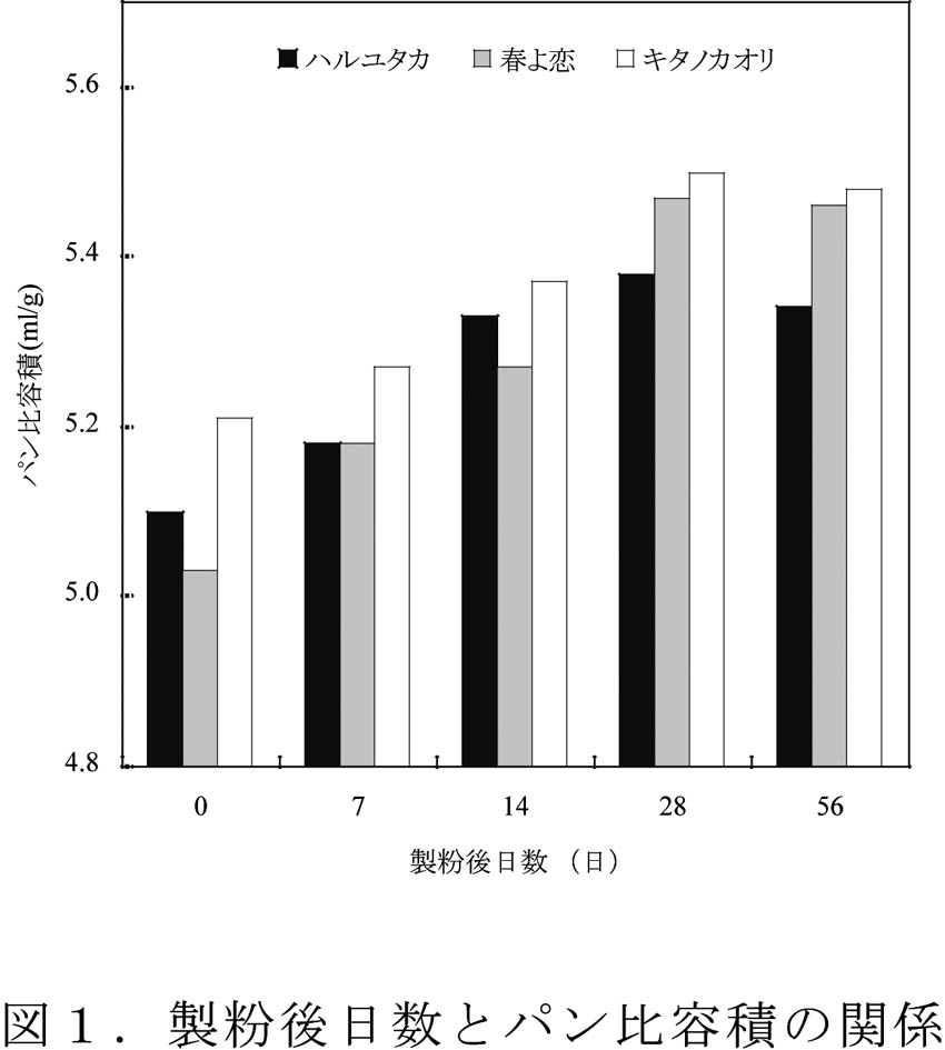
- パン比容積は、製粉後4週間増加する(図1)。
- 生地破断変形量は、製粉後8週間減少する傾向がある(図2)。
- 生地破断変形量は、パン比容積と負の相関関係を示す(図3)。
- 製粉直後の生地破断変形量が小さい品種ほど、製粉後の生地破断変形量の減少によるパン比容積の増加が大きい。
- ファリノグラフのスタビリティは、パン比容積と相関を示す(図4)。
- 以上より、エージング中の小麦粉では、生地破断変形量およびファリノグラフのスタビリティとパン比容積との間に高い相関が見られる。また、製粉直後の生地破断変形量が小さい品種ほど、製粉後の生地破断変形量の減少によるパン比容積の増加が大きい。製粉直後の生地破断変形量とパン比容積の増加率の関係は、製パン性の指標として有用である。
[成果の活用面・留意点]
- 国産パン用品種の小麦粉のエージング特性が明らかになり、品種評価に使用する小麦粉の前歴を揃える際の有用な情報として活用できる。
- 本試験で用いた小麦粉は、ビューラー製粉機によって調製した60%粉を、ポリエチレン袋(厚さ:40μm)内で20℃の恒温器に保存した。
[具体的データ]
[その他]
予算区分:異分野融合研究
研究期間:2001〜2005年度
研究担当者:西尾善太、高田兼則、伊藤美環子、田引 正、入来規雄、船附(丸山)稚子、山内宏昭
発表論文等:Nishio et al. (2004) Food Sci. Tec. Res. 10: 208-213
目次へ戻る